(c) 2001 by Akira Miyoshi. All rights reserved.
[Top]
[はじめに] [1章] [2章] [3章] [4章] [5章] [6章] [7章] [8章] [9章] [10章] [11章]
2001 物理化学 II - 8章

8. 並進運動と解離平衡

8.1 並進分配関数

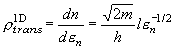
[一次元並進]
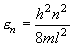
  ・長さ l の一次元箱中の分子 (質量 m ) の並進運動

  エネルギー準位
\varepsilon _n  = \frac{{h^2 n^2 }}{{8ml^2 }}, n = 1, 2, 3, ...   (8.1)
  状態密度
\rho _{trans}^{{\rm 1D}}  = \frac{{dn}}{{d\varepsilon _n }} =
  \frac{{\sqrt {2m} }}{h}l\varepsilon _n^{ - 1/2}
  分配関数
Q_{trans}^{{\rm 1D}}  = \int_0^\infty  {\rho _{trans}^{{\rm 1D}}
  \exp \left( { - \varepsilon _n /kT} \right)d\varepsilon _n }  =
  \left( {\frac{{2\pi mkT}}{{h^2 }}} \right)^{1/2} l   (8.2)

[三次元並進]
  ・lx ly ly の箱中の並進運動

  分配関数
  x, y, z 方向の並進運動は独立
Q_{trans}^{{\rm 3D}}  = Q_{trans}^{{\rm 1D}}
  \left( x \right)Q_{trans}^{{\rm 1D}} \left( y \right)Q_{trans}^{{\rm 1D}}
  \left( z \right) = \left( {\frac{{2\pi mkT}}{{h^2 }}} \right)^{3/2}
  l_x l_y l_z   (8.3)
  単位体積あたりの分配関数
Q_{trans}^ \circ 
  = \left( {\frac{{2\pi mkT}}{{h^2 }}} \right)^{3/2}   (8.4)

[相対並進(三次元)]  ・m (換算質量)

\mu  = \frac{{m_1 m_2 }}{{m_1  + m_2 }}   (2.3)
Q_{trans}^ \circ   = \left( {\frac{{2\pi \mu kT}}{{h^2 }}}
  \right)^{3/2}   (8.5)

8.2 解離平衡

ex.) H2 分子の解離 (H2 H + H)

  平衡定数
  電子状態・振動・回転・並進運動は独立
\frac{{[{\rm H}]_e^2 }}{{[{\rm H}_2 ]_e }} = \frac{{\left[
  {Q_{trans}^ \circ  \left( {\rm H} \right)Q_{elec} \left( {\rm H} \right)}
  \right]^2 }}{{Q_{trans}^ \circ  \left( {{\rm H}_2 } \right)Q_{elec}
  \left( {{\rm H}_2 } \right)Q_{vib} \left( {{\rm H}_2 } \right)Q_{rot}
  \left( {{\rm H}_2 } \right)}}\exp \left( { - \Delta E/kT} \right)
 = \frac{{Q_{trans}^ \circ  \left( {{\rm H} + {\rm H}}
  \right)Q_{elec}^2 \left( {\rm H} \right)}}{{Q_{elec} \left( {{\rm H}_2 }
  \right)Q_{vib} \left( {{\rm H}_2 } \right)Q_{rot} \left( {{\rm H}_2 }
  \right)}}\exp \left( { - \Delta E/kT} \right)
  解離エネルギー     E = 432 kJ mol-1 = 36110 cm-1
  電子項     Qelec (H2) = 1, Qelec (H) = 2
  振動項     Q_{vib} \left( {{\rm H}_2 } \right) = \frac{1}{{1 - \exp
   \left( { - h\nu /kT} \right)}};   h (H2) = 4162 cm-1
  回転項     Q_{rot} \left( {{\rm H}_2 } \right) = \frac{{kT}}{{\sigma B}};   (H2) = 2, B (H2) = 59.3 cm-1
  並進項     Q_{trans}^ \circ   = \left( {\frac{{2\pi \mu kT}}{{h^2 }}}
   \right)^{3/2}  = 3.2433 \times 10^{20} \left(
   {\frac{\mu }{{{\rm amu}}}\frac{{kT}}{{{\rm cm}^{ - 1} }}}
   \right)^{3/2} [{\rm cm}^{ - 3} ]; (H + H) = 0.504 amu
T /KkT /cm-1 exp(-E /kT ) Q trans /cm-3 QvibQrot Kc /cm-3
1000695.0 2.73310-23 2.12610241.003 5.8603.96101
20001390.1 5.22810-12 6.01410241.053 11.7211.021013

* 主な分配関数項 (エントロピー項) は Qtrans


問題 8.1
  D2 分子 (2H2H) の解離平衡定数は同じ温度 (1000, 2000 K) で H2 と、どの程度異なるか?
  (調和振動子、剛体回転子を仮定せよ。零点エネルギーの違いは E に反映されることに注意せよ)