| pKa | pKb | |||
| HI | 〜 -9 | NH2OH | 7.97 | |
| HBr | 〜 -8 | NH2NH2 | 5.77 | |
| HCl | 〜 -7 | NH3 | 4.74 | |
| HF | 〜 3.2 | MeNH2 | 3.36 | |
| H2SO4 | 〜 -3 | Me2NH | 3.29 | |
| H2SO3 | 1.9 | Me3N | 4.28 | |
| HNO3 | 〜 -1.4 | |||
| HNO2 | 3.3 | |||
| H3PO4 | 2.1 | |||
| H3PO3 | 1.8 | |||
| H3PO2 | 2 | |||
| H2CO4 | 3.9 | |||
| HClO | 7.2 | |||
| HClO2 | 2.0 | |||
| HClO3 | -1 | |||
| HClO4 | -10 |
[8.2] 水和酸化物の
pKa と ![]() |
![]() |
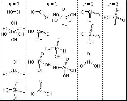
| [8.3] オキソ酸 |
![]() |
| [8.4] 逐次解離酸 H3PO4 |
![]() |
| [8.5] 典型元素の両性酸化物 | [8.6] 遷移元素の両性酸化物 |
![]() |
![]() |
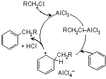
| [8.7] BX3 と AlX3 | [8.8] AlX3 の触媒サイクル |
![]() |
![]() |
| [8.9] ルイス酸・塩基の反応 | [8.10] 硬い・軟らかい酸 |
![]() |
![]() |
| 硬い | 中間 | 軟らかい | |
| 酸: | H+, Li+, Na+, K+, Be2+, Mg2+, Ca2+, Cr2+, Cr3+, Al3+, SO3, BF3 |
Fe2+, Co2+, Ni2+, Cu2+, Zn2+, Pb2+, SO2, BBr3 |
Cu+, Ag+, Au+,
Tl+, Hg+, Pd2+, Cd2+, Pt2+, Hg2+, BH3 |
| 塩基: | F-, Cl-, OH-, H2O, NH3, CO32-, NO3-, O2-, SO42-, PO43-, ClO4- |
NO2-, SO32-, Br-, N3-, N2, C6H5N, SCN- |
H-, R-, CN-,
CO, I-, SCN-, R3P, C6H6, R2S |
| (下線の原子が配位点) | |||